正佳不锈钢

不锈钢制品管弯曲试验标准

2021-09-10 16:43:08 正佳不锈钢
       不锈钢制品管折弯是比较常见的加工工艺之一,因为折弯后的不锈钢管为家具增加了设计感,还能提高家具的使用功能。但是为了防止在弯曲过程中会出现裂纹、变形等,会进行多次的试验,测试出最适合的弯曲角度。不锈钢管材的弯曲试验有相关标准规定的,接下来看看不锈钢制品管弯曲试验标准。
不锈钢制品管弯曲试验标准
       一、范围
       本标准适用于外径不小于60mm的金属管横向弧形试样以及外径不小于400mm的金属管横向矩形试样的弯曲试验。

       二、符号及说明
       本标准使用的符号及相应的说明见表1。
不锈钢制品管弯曲试验标准
       三、原理
       将试样置于弯曲装置上,不改变试样加力方向,使之经受弯曲塑性变形,直至达到规定的弯曲角度。

       四、试验设备
       金属管横向弯曲试验应在配有两个支辊和弯曲压头的支辊式弯曲装置的试验机上完成,支辊和弯曲压头应具有足够的刚度和硬度。

       五、试样
       1.试样类型
试样型号 试样名称 试样形状
E型 直缝焊圆管横向弧形正弯试样 图5
F型 直缝焊圆管横向弧形反弯试样 图6
G型 直缝焊圆管横向矩形正弯试样 图7
H型 直缝焊圆管横向矩形反弯试样 图8
I型 直缝焊圆管横向矩形侧弯试样 图9
       2.试样形状
不锈钢制品管弯曲试验标准
不锈钢制品管弯曲试验标准
不锈钢制品管弯曲试验标准
       六、试样尺寸
       1.试样厚度
       ①当管壁厚度T不大于25mm时,E型和F型试样厚度应为管壁厚度T。当管壁厚度T大于25mm时,E型试样可从管壁内表面减薄至25mm,F型试样可从管壁外表面减薄至25mm。
       ②G型和H型试样厚度应加工到满足试验要求的最大厚度,但不超过25mm。G型试样受拉面应尽量靠近管壁外表面,H型试样受拉面应尽量靠近管壁内表面。
       ③I型试样厚度应为10mm。

       2.试样宽度
       试样宽度应在20mm~50mm之间。对于I型试样,其试样宽度尽量接近全厚度,当金属圆管壁厚超过50mm时,允许以一组试样代替。
       注:一组试样是指金属管的厚度方向截取的覆盖全厚度的一组I型试样。

       七、试验要求及步骤
       1.试验要求
       ①试验一般应在10℃~35℃室温范围内进行。对温度要求严格的试验,试验温度应为(23±5)℃或按相关产品技术条件规定。
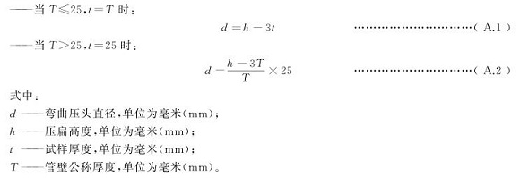
       ②弯曲压头直径应按不锈钢制品管产品标准规定,当用金属管横向弯曲试验代替压扁试验时,弯曲压头直径的选取,按式(A.1)和式(A.2)确定:
不锈钢制品管弯曲试验标准
       ③两支辊间距离应为(d+3t)±t/2。
       ④支辊和弯曲压头的长度应大于试样宽度。
       ⑤在试验设备载荷作用下,试样应绕着弯曲压头平缓地进行弯曲。当出现争议时,试验速率应为(1±0.2)mm/s。

       2.试验步骤
       ①E型试样应按下图方法进行正弯试验,试样焊缝中心应位于两支辊的轴心连线中点处。
不锈钢制品管弯曲试验标准
       ②F型试样应按下图方法进行反弯试验,试样焊缝中心应位于两支辊的轴心连线中点处。
不锈钢制品管弯曲试验标准
       ③G型试样应按下图方法进行正弯试验,试样焊缝中心应位于两支辊的轴心连线中点处。
不锈钢制品管弯曲试验标准
       ④H型试样应按下图方法进行反弯试验,试样焊缝中心应位于两支辊的轴心连线中点处。
不锈钢制品管弯曲试验标准
       ⑤I型试样应按图20方法进行侧弯试验,试样焊缝中心应位于两支辊间的轴心连线中点处。
不锈钢制品管弯曲试验标准
       以上就是不锈钢制品管弯曲试验标准的截取部分,想了解更详细的内容可查找GB/T 32976-2016。以上内容讲到试样、试样尺寸和试验要求和步骤等内容,厂家在进行不锈钢管折弯时,可按照以上的标准进行试验,以测试出最适合的弯曲角度。



联系方式

  • 联系人:139 2771 6167
  • 服务热线-1:0757-86411166、0757-86411128
  • 服务热线-2:0757-86602198
  • 邮 箱:969335168@qq.com
  • 地 址:广东省佛山市南海区丹灶镇丹灶世海钢材物流中心
正佳不锈钢微信公众号